시계열 분석(Time Series Analysis)은 시간의 흐름에 따른 데이터를 다루는 통계 기법으로, 금융, 기후, 마케팅 등 다양한 분야에서 활용되고 있습니다.
이러한 분석을 수행하기 전, 반드시 이해해야 할 개념이 바로 정상성(Stationarity)입니다.

비정상 시계열 (Non-Stationary Time Series)
비정상 시계열은 시간이 지남에 따라 확률적 특성이 변하는 시계열을 의미합니다.
여기서 확률적 특성이란 평균, 분산, 자기상관계수와 같은 값들을 말합니다.
이러한 데이터는 일반적으로 다음과 같은 특징을 가집니다.
- 평균이 일정하지 않음
- 분산이 시간에 따라 변함
- 시점 간 상관성이 일정하지 않음
- 데이터에 뚜렷한 추세(trend)가 존재함 예) 랜덤 워크(Random Walk)
이러한 비정상 시계열은 예측 모델링 전에 변환 또는 차분을 통해 정상성을 확보해야 합니다.
정상 시계열 (Stationary Time Series)
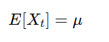
정상 시계열은 시간이 지나더라도 확률적 특성이 일정하게 유지되는 시계열을 의미합니다.
하지만 이 개념은 현실적으로 너무 엄격하기 때문에, 대부분의 분석에서는 약정상성(Weak Stationarity) 개념을 사용합니다.
약정상 시계열의 조건
- 평균이 일정하다

- 분산이 일정하다

- 자기상관성이 시점 간 시간 차이(lag)에만 의존한다

자기공분산과 자기상관성
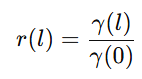
자기공분산 (Auto-Covariance)
시계열의 두 시점 간 관계를 공분산 형태로 표현한 값입니다.

자기상관성 (Auto-Correlation Function, ACF)
자기공분산을 정규화한 값으로, 시계열 내의 패턴이나 구조를 확인하는 데 유용합니다.

- lag = 0일 때 자기상관성은 항상 1
- 모든 lag에서 자기상관성이 0에 가까우면, 해당 시계열은 백색잡음(white noise)일 가능성이 높습니다

자기상관성 검정
측정된 자기상관성이 백색잡음으로부터 왔는지에 대한 여부를 검정할 수 있는 방법들이 있습니다.
특히, 예측모형의 성능을 확인할 때, 잔차(residual)가 백색잡음(white noise)에 가까운지를 확인하는 것이 중요합니다.
좋은 예측 모델은 예측 오차(잔차)에 일정한 패턴이 없어야 하며, 이는 곧 잔차가 백색잡음이라는 것을 의미합니다.
- Box-Pierce 검정
- Ljung-Box 검정
일반적으로 Ljung-Box 검정이 Box-Pierce 검정보다 더욱 정확한 방법으로 알려져 있습니다.
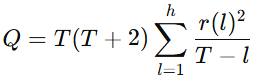
Ljung-Box 검정
귀무가설(H₀): 표본으로 계산된 자기상관성은 백색잡음의 것과 다르지 않다
대립가설(H₁): 표본으로 계산된 자기상관성은 백색잡음의 것과 유의하게 다르다

- : 전체 시계열 데이터의 길이
- : 고려하는 최대 시차 (보통 10 또는 계절성 주기의 2배 등으로 설정)
- : 시차 에서의 자기상관계수
이 검정통계량 Q는 자유도 h를 갖는 카이제곱 분포를 따릅니다.
만약 예측 잔차에 대해 검정을 수행한다면, 자유도는 보통 h−p로 조정됩니다. 여기서 p는 사용한 모형의 추정 파라미터 수를 의미합니다.
검정 결과의 p-value는 이 Q 통계량이 해당 카이제곱 분포의 오른쪽 꼬리에서 나올 확률로 계산됩니다.
- p-value > 0.05: 귀무가설 채택 → 잔차는 백색잡음일 가능성 높음 → 모델이 데이터를 잘 설명
- p-value < 0.05: 귀무가설 기각 → 잔차에 자기상관성 존재 → 모델 재조정 필요
'Time-Series' 카테고리의 다른 글
| [Time Series#5] 시계열 모형의 장기 예측 값에 대한 평균 수렴성 (0) | 2025.04.25 |
|---|---|
| [Time Series#4] 시계열 모형 (AR, MA, ARMA, ARIMA) (0) | 2025.04.25 |
| [Time Series#3] Box-Cox 변환 (0) | 2025.04.25 |
| [Time Series#1] 시계열 분석이란? (0) | 2025.04.21 |