시계열 예측에서 중요한 질문 중 하나는 다음과 같습니다.
“장기적으로 시계열의 예측값은 어떻게 될까?”
실제 예측 모델을 사용해 보면, 미래로 갈수록 예측값이 어떤 평균값에 가까워지는 현상을 관찰할 수 있습니다.
이 글에서는 시계열 모형에서 예측값이 시계열 평균으로 수렴하는 이유를 유도 과정을 포함해 살펴보겠습니다.
AR

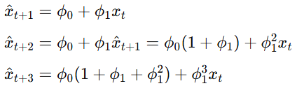
예측값을 한 시점씩 전개하면 다음과 같습니다.

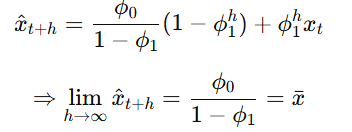
이를 일반화하 등비수열 합을 이용하면



정상성 조건에 의해서 예측값은 시계열의 평균으로 수렴합니다.
MA

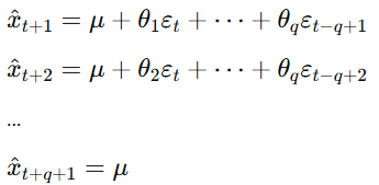
MA 모델의 예측은 오차항의 기대값이 0이라는 특성을 이용합니다.

- 오차항이 더 이상 존재하지 않는 시점부터는 예측값은 상수 로 고정
- 즉, 예측값은 q 시점을 지나면 곧바로 평균 로 수렴
ARMA

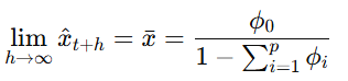
이 모델은 AR의 누적성과 MA의 절단성을 동시에 갖습니다.
- 초기 예측값은 AR과 MA 모두 반영
- 시간이 지남에 따라 MA 항은 사라지고 AR만 남음
- AR 항 역시 지수적으로 약해짐
결과적으로:

- MA 성분은 일정 시점 이후 소멸
- AR 성분은 지수적으로 감소
- 결국 예측값은 평균으로 수렴
왜 이 수렴성이 중요한가?
- 장기 예측은 평균값 그 자체가 된다
→ 모델 구조의 영향은 점점 희석된다. - 예측 신뢰구간이 넓어진다
→ 평균은 유지되지만 불확실성은 커진다. - 모델 선택보다 데이터의 평균 및 구조 파악이 중요해진다
→ 단기 예측과 장기 예측의 전략이 달라야 한다.
'Time-Series' 카테고리의 다른 글
| [Time Series#4] 시계열 모형 (AR, MA, ARMA, ARIMA) (0) | 2025.04.25 |
|---|---|
| [Time Series#3] Box-Cox 변환 (0) | 2025.04.25 |
| [Time Series#2] 정상성이란? (0) | 2025.04.24 |
| [Time Series#1] 시계열 분석이란? (0) | 2025.04.21 |