Matrix Multiplication

Transformation
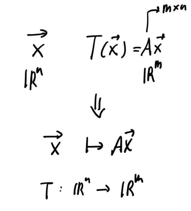
A transformation(or function or mapping) &T& from $\mathbb{R}^n$ to $\mathbb{R}^m$

Matrix Transformation

Ex.
$$ \begin{bmatrix}1&0&0
\\0&1&0
\\0&0&1
\end{bmatrix}=A$$
$$ \begin{bmatrix}1&0&0
\\0&1&0
\\0&0&1
\end{bmatrix}\begin{bmatrix}x_1\\x_2\\x_3\end{bmatrix}=\begin{bmatrix}x_1\\x_2\\0\end{bmatrix}$$

Ex.
$$\begin{bmatrix}1&3
\\0&1
\end{bmatrix}$$
$$\begin{bmatrix}1&3
\\0&1
\end{bmatrix}\begin{bmatrix}0\\2\end{bmatrix}=\begin{bmatrix}6\\2\end{bmatrix}$$
$$\begin{bmatrix}1&3
\\0&1
\end{bmatrix}\begin{bmatrix}2\\2\end{bmatrix}=\begin{bmatrix}8\\2\end{bmatrix}$$

Linear Transformation
A transformation(or mapping) $T$ is linear if
$$T(\mathbf{u}+\mathbf{v})=T(\mathbf{u})+T(\mathbf{v})$$
$$T(c\mathbf{u})=cT(\mathbf{u})$$
Every matrix transformation is a linear transformation
※ Reference
<선형대수학개론 of 조범희(인프런)>
'Mathematics' 카테고리의 다른 글
| [선형대수학#2] 행렬 (0) | 2025.09.21 |
|---|---|
| [선형대수학#1] 일차방정식 (0) | 2025.09.21 |
| [Mathematics#6] Linear Independence (Linear Equations in Linear Algebra#6) (0) | 2024.12.16 |
| [Mathematics#5] Solution Sets of Linear Systems Linear Equations in Linear Algebra#5) (0) | 2024.12.16 |
| [Mathematics#4] The Matrix Equation AX=b (Linear Equations in Linear Algebra#4) (2) | 2024.12.15 |